人妻

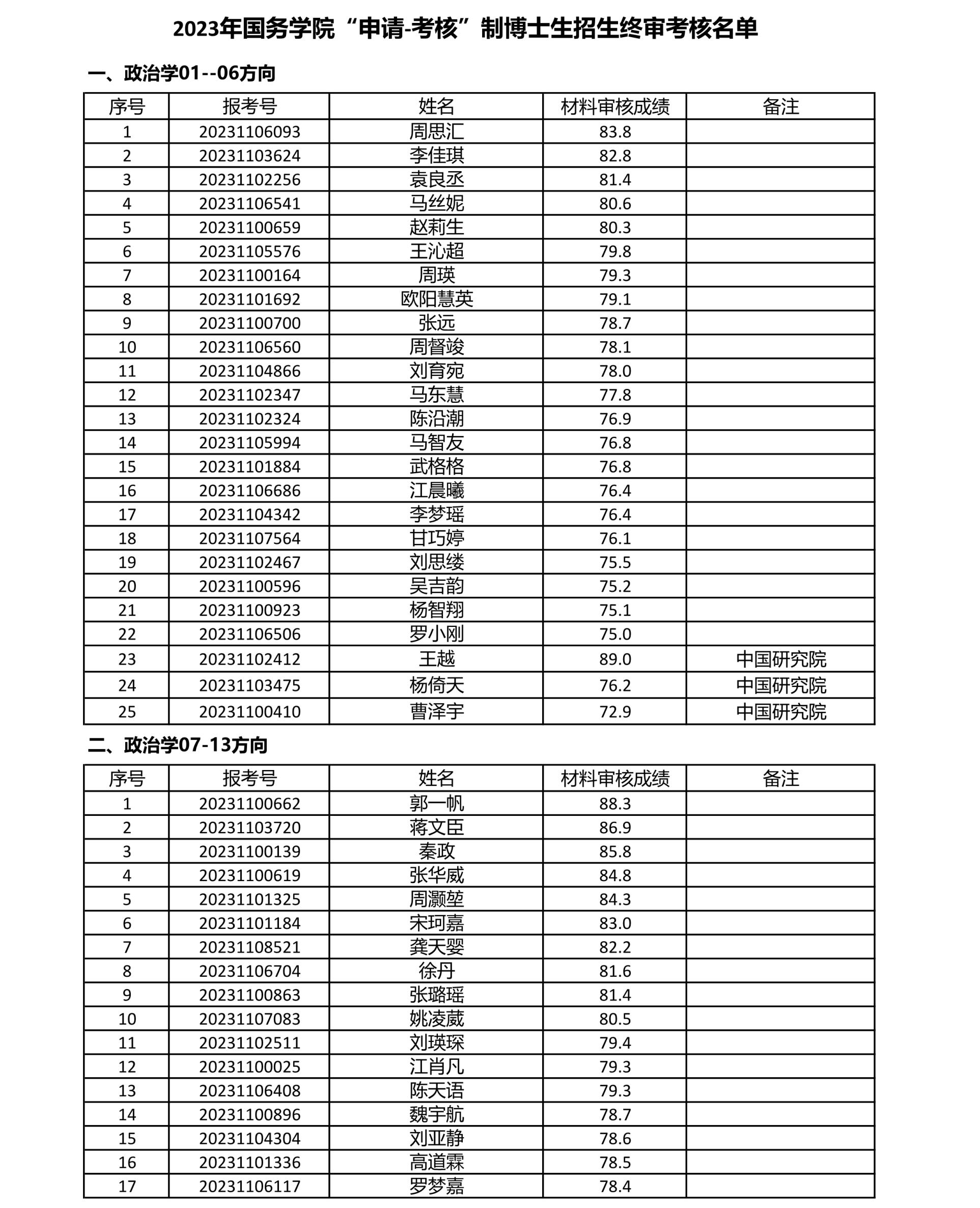
2023年人妻 “申请-考核”制博士生招生复试考核名单

发布者:系统管理员 发布时间:2023-03-31 浏览次数:680

请所有进入复试考核的考生发送邮件到[email protected]确认是否参加复试考核,时间为2023年4月2日20:00前,邮件格式:“考生姓名+报考号+申请专业+研究方向+参加/不参加复试考核”,并在报考系统中确认“是否确认参加复试”。

复试考核分为笔试与面试两个环节,笔试时间为4月7日下午13:30-16:30,面试时间为4月9日,各位考生提前做好时间安排,其他关于复试考核具体安排以研究生报考系统复试通知安排为准。